Il problema 508: l’avete risolto?
La settimana scorsa vi ho proposto un problema classico, adatto a tutti, con molte soluzioni interessanti.
Il problema 508
Qui sotto vedete il numero 508 scritto con gli stecchini.

- Spostate 2 stecchini in modo da ottenere un numero maggiore di 508.
- Poi ripartite da 508 e spostate 2 stecchini in modo da ottenere un numero minore di 508.
Quali numeri riuscite a ottenere come massimo e come minimo?
Lo avete risolto? Ecco le soluzioni!
Risposte & riflessioni
Il problema 508 ha diverse soluzioni, determinate da due fattori principali.
- Le conoscenze matematiche di chi affronta il problema, per esempio i numeri negativi, l’elevamento a potenza, l’operazione di tetrazione, e così via.
- I blocchi mentali, più o meno consapevoli, che mettiamo in atto e che limitano le nostre possibilità di trovare una soluzione sorprendente.
Vi propongo alcune soluzioni. Ne avete trovato di migliori?
1) Limitarsi a tre cifre e alla matrice a 7 segmenti.
Le due soluzioni attese, in questo caso, sono 000 e 999.

2) Superare le tre cifre e usare numeri negativi.
Due soluzioni difficilmente migliorabili sono -9118 e 51181.

3) Usare l’elevamento a potenza.
In questo caso, il massimo dovrebbe essere 511811.

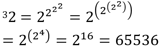
4) Usare la tetrazione.
Il numero115118 si legge “5118 tetrato 11” e corrisponde a un elevamento a potenza con base 5118 e 11 esponenti successivi uguali a 5118.
È difficile persino immaginare l’enormità di questo numero!

Per capire la tetrazione facciamo un esempio più semplice: 32, “2 tetrato 3“.

5) Usare altre notazioni o strategie.
Per esempio, il numero E98 nella notazione delle calcolatrici significa 1098.
Allo stesso modo si può ottenere -E09 che significa -109.

Un’altra soluzione si può ottenere chiedendo di osservare l’elevamento a potenza (soluzione 3) dal lato opposto.
Possiamo chiederci: è più grande 118115 oppure 511811?

Allo stesso modo, possiamo guardare dall’altro lato la tetrazione (soluzione 4).
Anche in questo caso possiamo chiederci: è più grande 5118 tetrato 11 oppure 11 tetrato 5118?

Altre soluzioni si possono ottenere spezzando uno stecchino, per esempio:
a) 5118! (fattoriale);
b) 5↑18 (notazione up-arrow di Knuth)
Pace e bene a tutti.
GfBo
Foto cover: Shutterstock AI / Shutterstock
Ilustrazioni: Gianfranco Bo
Questo articolo è tratto dal sito BASE Cinque, di Gianfranco Bo.
Commenti